選擇,測試和驗證現代實驗室的實驗室天平充滿了潛在的錯誤。由典型分析平衡產生的結果將影響實驗室和依賴于它的生產單元的生產率!
余額選擇
精確稱重的過程從正確和適當地選擇天平開始。主要問題是所選擇的余額是否將滿足調查過程的測量不確定性預算。
說明者將可讀性與稱重精度混淆并不罕見。例如,用戶可以選擇容量為200g且可讀性為0.1mg的分析天平,因為據信該天平“精確到0.1mg”。
在稱重儀器的規格中定義了幾個限制其性能的屬性。**重要的是重復性,偏心,非線性和靈敏度。它們如何影響稱重儀器的性能和選擇?
為了回答這個問題,必須shou先討論術語“稱重不確定性”。G際計量學詞匯將不確定性定義為表示測量值的離差的參數。
可以根據稱重儀器的規格(通常是當執行設計資格時的情況),從稱重儀器的測試測量(通常情況下,稱為稱重儀器)來估計稱重不確定性(即,物體在稱重儀器上稱重的不確定性)當執行操作或性能鑒定時)或從兩者的組合??梢愿鶕y計方法組合基本影響以獲得稱重不確定度:
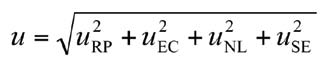
不確定性可以表示為標準不確定性u(對應于統計過程的標準偏差)或擴展不確定度U(也稱為不確定區間)。為了獲得擴展的不確定性,標準不確定性必須乘以所選擇的擴展因子K = 2或K = 3。

測量不確定度的表達式
安全要素
在安裝時確定的重復性將由于環境條件,實驗室位置,操作者的差異和其他不確定性來源而變化。因此,建議應用在過程的警告和控制限制之間建立安全余量的安全系數。例如,如果所需的**小重量是50mg,則通過其達到例如25mg的能力來選擇平衡,這將給出2的安全系數,盡管稱重系統將使用50mg或更多。GWP®(Good Weighing Practice™)*建議默認安全系數為2,以補償重復性測定的變化。
測試
任何給定平衡的推薦測試頻率將隨著更高的精度要求和增加的沖擊嚴重性而增加。同樣,頻率將隨著故障的可檢測性的增加而降低。靈敏度應經常測試(由于其低誤差,簡單程序),隨后,頻率降低,重復性和偏心。
GWP努力消除評估標準重量測試公差的耗時且混亂的過程,以及提供可以同化為任何標準操作程序的統一程序。
GWP推薦的測試限制基于:
**可能的是,在實驗室稱重儀器上,特別是在實驗室應用中稱重的所有樣品中的大多數滿足“小樣品”(即,質量明顯小于稱重儀器的容量的樣品)的條件 - 百分之幾容量,說。當討論相對不確定性與樣品質量時,如果對小樣品進行稱重,稱重不確定性由重復性決定。
因此,對于大多數稱重,重復性是不確定性的**重要的因素。這將是建議重復性**經常測試的一個很好的理由。然而,該測試包括多次稱重相同的測試重量 - 通常為10次。為了正確地執行該測試,需要相當大的努力和技能。另一方面,靈敏度的測試可以用一個稱重的測試砝碼進行,當然更少的努力。此外,靈敏度測試將顯示任何嚴重的問題,無論是與儀器或如果結果漂移; 簡而言之,它可以被認為是稱重儀器的功能的基本測試。雖然到目前為止,靈敏度不是稱重儀器**關鍵的性能,
當稱重儀器由經授權的人員校準時,測試偏心。它被測試到反映對測量的不確定性的貢獻水平的頻率。
任何型號的稱重儀器對于稱重不確定性的影響都是微不足道的,并且幾乎不占主導地位,因此非線性不推薦用于用戶的測試。除此之外,還需要注意何時由授權人員校準稱重儀器。
GWP建議稱量儀器的測試程序如下:
1.由授權人員進行校準,包括確定稱重不確定度或**小重量(如適用); 目的是通過測試所有相關的稱重參數來評估儀器的完整性能。
2.在規定的時間間隔內由用戶進行的靈敏度,重復性和偏心率(但不是非線性)的常規試驗; 目的是確認其適用于該應用。
3.由稱重儀器自動進行的自動測試或調整,如靈敏度測試; 目的是減少手動測試的努力。
測試頻率
GWP建議根據以下因素進行測試程序和相應的頻率:
1.應用所需的稱重精度
2.稱重儀表不能正常工作時的影響(例如,對于商業,消費者或環境)
3.故障的可檢測性
所有性能測試的建議頻率從每天的危險應用(用戶或自動測試)延伸到每周,每月,每季度,每半年或每年(例如,由授權人員進行校準)。假設稱量精度要求越嚴格,稱量結果不滿足精度要求的概率越高。在這種情況下,測試頻率增加。類似地,如果沖擊的嚴重性增加,則應更頻繁地進行測試
如果容易檢測到稱重儀表的故障,則測試頻率降低。常規測試基于應用所需的稱重精度。簡單來說,稱重精度必須高于或等于所需的精度。所需的精度稱為控制極限,這意味著如果超過此極限,必須立即采取措施。以**簡單的方式,測試極限等于控制極限,因此等于過程的所需稱重精度。
測試砝碼
對于用戶測試,建議使用兩個測試砝碼:
1.大重量,優選質量等于稱重儀器的容量。GWP建議根據ASTM或OIML分類,小于或等于稱重儀器的標稱容量的下一個可用的單重量標稱。
2.小??重量,優選質量等于稱重儀器容量的百分之幾。GWP建議根據ASTM或OIML分類,下一個可用的單重量標稱值小于或等于稱重儀表額定容量的5%。
結束
為了確保遵守正確的計量規則,觀察到以下情況:
1.用于測試稱重儀器的靈敏度的重量需要校準,并且必須是可追溯的(參考重量)。它們的**大允許誤差(mpe)不得大于警告限值的三分之一,因此其與警告限值相比的影響可以完全忽略。選擇滿足該條件的**低權重類別。由于警告極限取決于控制極限,因此取決于所需的稱量精度,因此測試砝碼的mpe也是如此。
2.所有其他測試(即重復性或偏心度測試)可以用任何重量進行,只要重量在測試期間不改變其質量。當然,也可以為這些測試使用校準的測試砝碼,但這不是必需的。
3.測試重量太?。ㄅc稱重儀器的容量相比)的靈敏度測試會導致測試測量被重復性的影響“污染”的風險。
靈敏度的測試重量通常具有較高的精度等級(ASTM 1**4 / OIML F或E)。然而,即使在一些情況下OIML類M重量將足以用于測試,GWP用該類代替ASTM 4級或OIML類F2重量。
原因是允許M級重量的表面保持粗糙。這增加了潛在污染的可能性,這是實驗室不能容忍的特征。必須定期(重新)校準靈敏度的測試砝碼,以提供可追溯性。
用戶測試
簡而言之,使用用戶只需要兩個權重來測試個人余額的前提,建議以下測試和權重:
1.靈敏度,優選具有大的重量(100%的額定容量)。
2.重復性,重量輕(約為標稱容量的5% - 10%)。
3.偏心,優選具有大的重量(100%的額定容量)。
4.線性度不需要由用戶測試,因為它對整個稱量范圍內的測量不確定度的貢獻不大。