1.概念
水分含量概念就不多說。
根據現代食品科學研究指出:用水分活性(Water Activity-Aw)指導生產和貯藏具有重要的實踐意義,因為水分活度既能反映食品中水分存在狀態,又能揭示食品質量變化和微生物繁殖對其水分可利用的程度。因此,近年來G外的食品水分多不用百分比表示,而改用水分活性或平衡相對濕度(Equilibrium Relative Humidity ERH)表示。
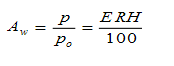
水分活性的定義:在一溫度下,溶液狀的水分或食品中水分的蒸汽壓與相同一溫度下純水的蒸汽壓的比值,即:

.
P為食品中水的蒸汽分壓,P0為純水的蒸汽壓。純水的P與P0是一致的,所以純水Aw值為1。而食品中的水分由于有一部分與某些可溶性成分共存(以結合水的形式存在),它的蒸汽壓P總是小于純水的蒸汽壓P0,所以食品的Aw均小于1。
測定食品的水分活度時,可采用水分活度測定儀(記得我曾經在壇內專門有個這個方法介紹)。其工作原理是把被測食品置于密封的空間內,在保持恒溫的條件下,使食品與周圍空氣的蒸汽壓達到平衡,這時就可以以氣體空間的水蒸汽壓作為食品蒸汽壓的數值。同時,在一定溫度下純水的飽和蒸汽壓是一定的,所以可以應用上述水分活度定義的公式,計算出被測食品的水分活度。由此可見,測定食品水分活度的方法實際上就是利用空氣與食品的充分接觸,達到空氣中水蒸氣分壓和食品中水蒸氣壓的平衡,把食品中水蒸氣壓以空氣的水蒸氣分壓來表示。因此在數值上食品的水分活度等于空氣的平衡相對濕度。例如面粉、大米的Aw為0.65,用平衡相對濕度值表示則為65%,在平衡相對濕度的條件下貯藏食品,其水分含量即是它的平衡水分。在ERH65%條件下貯藏面粉、大米,其平衡水分在14%左右。這個含水量不僅符合產品質量標準的要求,而且也能達到安全貯藏。必須指出,食品的水分活度與空氣的平衡相對濕度是兩個不同的概念,前者表示食品中的水分被束縛的程度,后者表示空氣被水蒸氣飽和的程度。因此,用水分活度來指導食品的生產和貯藏,具有更科學和直接的指導作用。
拉布薩(T.P.Labuza)在總結食品的穩定性和Aw之間的相對關系時,闡明了食品水分和間存在有內在的相互關系。并可用等溫吸濕曲線(Water sorption isothermal Curve)來表示。在一定的溫度下,食品由于吸濕或放濕,所得到的水分活度與含水量之間關系的曲線稱為等溫吸濕曲線(圖1-1)。從這個曲線可以看出食品中水分存在的幾種狀態。如果把這個曲線分為三個區段,Aw在0~0.25之間為A區段,水分牢固地與食品中某些成分結在0.25~0.80之間為B在
圖1-1 食品等溫吸濕曲線
這個區段內中的水分是單層分子結
合水;Aw區段,在這個區段中,水分雖然也與食品中某些成分結合,但其結合力較弱,在這個區段中的水分是多層分子結合水,即半結合水;Aw在0.80~0.99之間為C區段,這區段中的水分是以毛細管凝集而存在,即自由水。 從曲線還可以看出,當食品中水分在很低的情況下,水分含量只要稍有增加,就可合在一起,結合力**強,以引起食品水分活度有較大的增加。同樣當食品中含水量高達90%以上時,其水分活度幾乎接近1,近
似純水的水分活度。由此可見,食品的水分活度與其含水量之間存在著一定的關系。而水分活度值的大小又決定于食品中水分的結合狀態,同一種食品如果含水量相同,其水分活度可能有差別,除了與水分的結合狀態有關外,還隨著溫度的升高而增加。
2.食品的吸附特性
食品的典型吸附等溫線是反S型的,并可近似地由數字關系式表達(見表1-1)。
前已達及,食品中部分水分是牢固地結合在特殊晶格位置上(這些晶格位置包括多糖的羥基、羰基和蛋白質的氨基等)。在這些晶格位置上,水能被氫、離子一偶極子或被其他一些基團牢牢地結合。
m1=45.45/41.45=1.1g水/g固體